2018河北高考一分一档表出炉!填报志愿全靠它!唐山考生、家长快收藏!
2018河北高考一分一档表出炉!填报志愿全靠它!唐山考生、家长快收藏!

导 读
23日0点,河北高考成绩可以查询了!相信考生现在都已经知道自己的分数了!全省考生们考的如何?一分一档表新鲜出炉!快来看看吧 !
▼▼▼
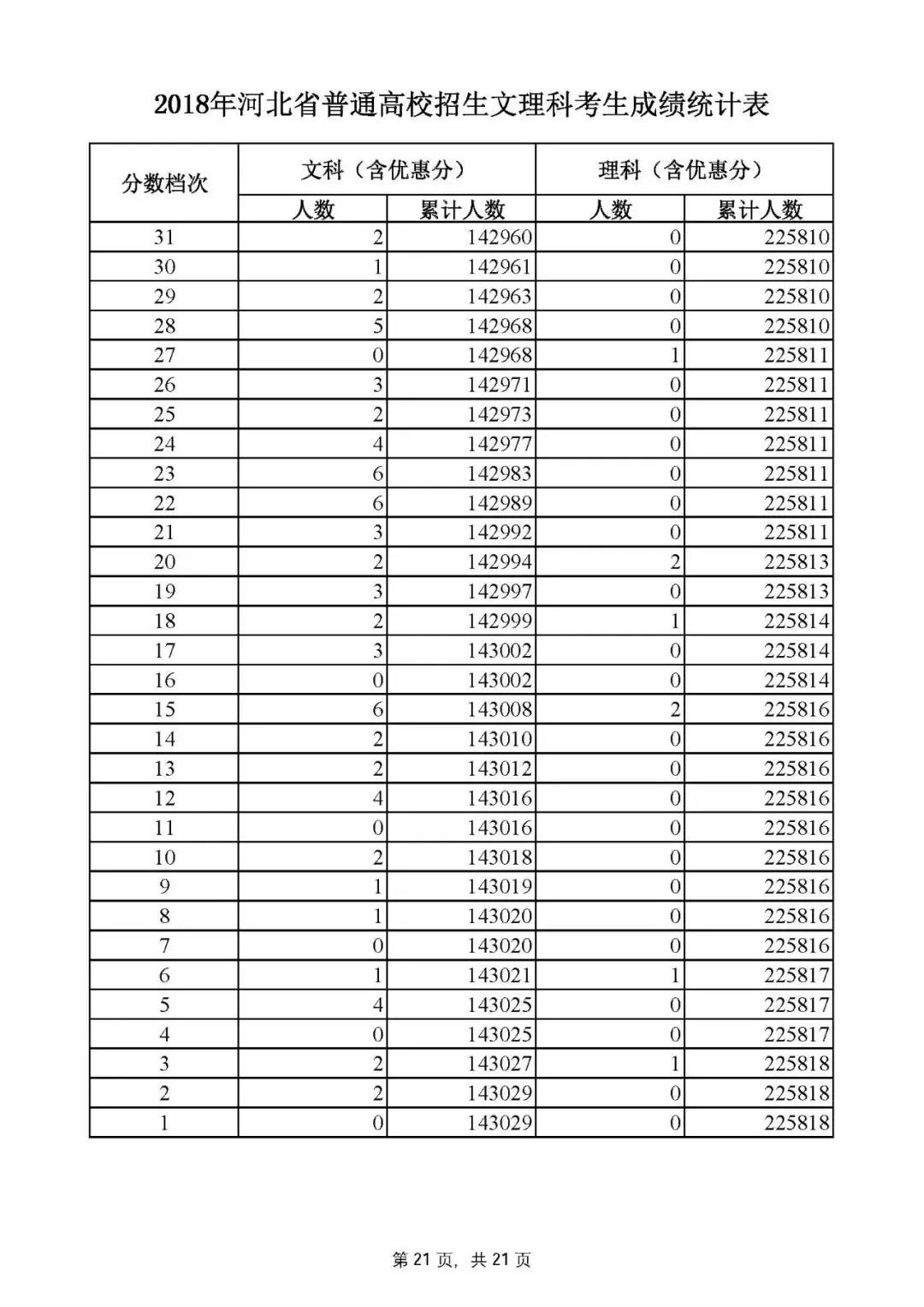
2018年河北普通高校招生文理科
一分一档表
(点击看大图更清楚哦)





















高考录取分数线
从河北省教育考试院获悉,经河北省招生委员会全体会议研究,确定了今年河北省普通高校招生各批各类录取控制分数线。其中,文史类本科一批为559分;理工类本科一批为511分。

报志愿一定要记住这些事
了解自己分数在全省的排名
尽管高考志愿难填,但还是有规律可循。专家建议,拿到“一分一档表”后,考生首先要从中寻找自己的高考成绩,看看全省与自己同分数的考生共有多少人,再看在这个分数之上,全省还有多少考生。这就可以了解到一条重要信息:全省今年究竟有多少考生比自己的考分高?有多少竞争对手?自己在全省排名中处于一个什么分数段?
明确录取几率,仔细对比位次
了解自己的排名后,该咋办?专家建议,考生不可直接拿自己今年的成绩硬套往年的录取结果,应以今年自己的位次值与往年的同位次值考生相对比 (即对比往年、今年“一分一档表”中的信息)。
冲、稳、保兼顾,还要看其他因素
在“一分一档表”中找到自己的位置之后,到底该选院校,还是选专业?专家建议,院校和专业的选择还是要看考生个人的意愿。要结合自身情况,如兴趣爱好、未来的理想等,同时结合高校的学科和专业设置情况、地理因素、校园的文化氛围、院校对相关科目要求等选择。
值得注意是,考生在寻找自己的位置时,除了考虑高校往年录取的最低分,还要看他们录取的平均分,以及录取专业分数线。因为每个高校专业设置不同,热门专业的分数往往高出学校提档线很多。热门专业和冷门专业录取的分数差距也很大,有些相差几十分。
这是骗局!千万别信!
近日,有群众反映,不断收到陌生短信,内容为“河北电信高考通服务,依托考试院高考大数据分析,智能化推荐‘冲、稳、保’三个梯度院校,让志愿填报有的放矢。功能费100元,仅扣一次,截止年底有效。
河北省教育考试院发布声明,提醒广大考生及家长,省教育考试院未与任何机构、公司及个人合作开展该项服务。

声明
近日省教育考试院接到群众反映,不断收到陌生短信,内容为“河北电信高考通服务,依托考试院高考大数据分析,智能化推荐‘冲、稳、保’三个梯度院校,让志愿填报有的放矢。功能费100元,仅扣一次,截止年底有效。”
在此,我们郑重声明,省教育考试院未与任何机构、公司及个人合作开展该项服务。我院与该项服务活动不存在任何关系。同时,对于某些社会机构和个人盗用我院名义,进行虚假宣传,误导公众,我院将保留追究其法律责任的权利。请各高校、中学及广大考生、家长提高警惕,谨防上当受骗。
我省2018年普通高考相关政策、成绩查询、录取结果查询以及各项咨询活动安排均通过省教育考试院官方渠道发布。
具体如下:
河北省教育考试院官方网站(http://www.hebeea.edu.cn)
河北招生考试信息服务网(http://www.hebeeb.com/)
河北省教育考试院微信公众号:hbsksy
河北省教育考试院移动客户端“掌上考试院”APP
觉得有用请点

!
- END -
唐山发布(tangshanpress)
综合整理出品|转载请注明来源
来源 | 河北发布
以上图片版权均归作者所有
-
- 欧贝利斯克的巨神兵
-
2025-12-21 17:11:54
-
- 投资3000亿耗时近10年,川藏铁路为何非修不可?战略价值不可估量
-
2025-12-21 17:09:40
-
- 死神食品你敢挑战吗?工商部门:包装涉嫌违反广告法
-
2025-12-21 13:49:56
-
- 大衣哥微博遭吐槽 朱之文称微博被操控 网友:操控还是炒作?
-
2025-12-21 13:47:41
-
- 520祝福图片带字唯美图 520浪漫图片带字祝福语
-
2025-12-21 13:45:28
-
- 最新!朱军性骚扰案最新进展!当事女生发声……
-
2025-12-21 13:43:13
-
- 你知道高铁为什么晚点?
-
2025-12-21 13:40:59
-
- 兵王专业说装备:二战时期,日军轻重机枪大盘点
-
2025-12-21 13:38:44
-
- 未能迎来新年三连胜 北京女篮客场不敌山西队
-
2025-12-21 13:36:30
-
- 那些被我们列入的日常生活大禁忌,你都知道吗?
-
2025-12-21 13:34:15
-
- 国家为什么大力发展南阳?
-
2025-12-21 13:32:01
-
- 巴基,也成为了美国队长
-
2025-12-21 13:29:47
-
- 清高、高傲、高尚:独树一帜、与众不同的西域山野兰花
-
2025-12-20 14:26:02
-
- 《原生之罪》池震和陆离什么关系 翟天临尹正剧中人设介绍
-
2025-12-17 12:53:47
-
- 270和梁红的世界之旅
-
2025-12-17 12:51:33
-
- 一个出轨女人的自白(二)
-
2025-12-17 12:49:18
-
- 淘宝的ID是什么?该怎样查看自己的淘宝ID?
-
2025-12-17 12:47:04
-
- 热血传奇的背景故事(玛法大陆)
-
2025-12-17 12:44:50
-
- 盘点10位“第一美女”,她们是浪得虚名还是实至名归?
-
2025-12-17 12:42:35
-
- 2023年全新的微信职业装头像,看看有你的职业装吗?
-
2025-12-17 12:40:21



刘宝瑞比李金斗高几辈?
请收好!这份手绘红色景点地图让你更了解杭州